Aplicatii numerice, probleme pentru examenul de autorizare electrician ANRE. Contine Aplicatii numerice pentru Grad II A+B de pe site-ul ANRE date la sesiunile anterioare.
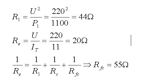
- La un circuit electric alimentat la tensiunea U = 220 V sunt conectate în paralel:
– un radiator electric de putere Pr=1100 W;
– un ciocan de lipit având Rc=110 Ω;
– un fier de călcat electric.
Să se calculeze rezistenţa fierului de călcat, ştiind că prin circuit trece un curent total IT = 11 A.
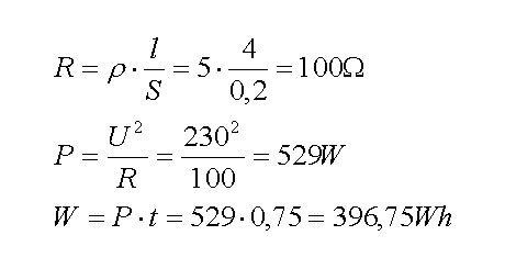
- Un fier de călcat electric funcţionează un timp t = 45 minute la tensiunea de U = 230 V. Firul interior al rezistenţei sale are lungimea l = 4 m, secţiunea s = 0,2 mm2 şi rezistivitatea ρ = 5 Ω mm2/m.
Să se determine puterea P şi consumul de energie electrică W ale fierului de călcat.
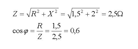
- Să se calculeze impedanţa unei bobine cu rezistenţa R = 1,5 Ω şi cu reactanţa X = 2 Ω, precum şi defazajul între o tensiune aplicată bobinei şi curentul rezultat. Defazajul se va exprima printr-o funcţie trigonometrică a unghiului respectiv.

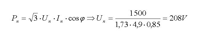
- Un electromotor trifazat cu puterea nominală Pn = 1500 W absoarbe un curent In = 4,9 A la un factor de putere cos jn = 0,85. Să se determine tensiunea nominală Un (dintre faze) la care funcţionează electromotorul.

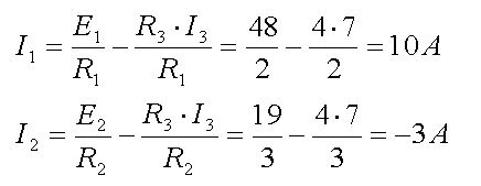
- Să se determine curenţii în reţeaua din figură, cunoscând: E1 = 48 V, E2 = 19 V, R1 = 2 ohm, R2 = 3ohm, R3 = 4 ohm. Să se întocmească bilanţul energetic.




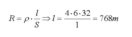
- Un conductor izolat, din aluminiu, având secţiunea de 6 mm2, strâns într-un colac, are o rezistenţă electrică R = 4 ohm şi r = 1/32 ohm mm2/m.Să se determine lungimea conductorului din colac, fără a-l desfăşura şi măsura.

- Un consumator consumă energie electrică prin utilizarea unei plite electrice cu rezistenţa de 30 Ω ce absoarbe un curent electric de 8 A şi a 4 lămpi cu incandescenţă a câte 75 W, funcţionând toate timp de o oră şi 15 minute. Să se determine energia electrică totală consumată de acest consumator în intervalul de timp menţionat.

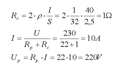
- O plită electrică având rezistenţa Rp = 22 ohm este alimentată printr-un circuit cu conductoare din aluminiu cu ρ = 1/32 ohm mm2/m şi secţiune s = 2,5 mm2 în lungime l = 40 m. Tensiunea la plecarea din tablou este U = 230 V. Să se calculeze:
a)rezistenţa electrică Rc a circuitului;
b)curentul electric din circuit;
c)tensiunea la bornele plitei.
- Un circuit electric monofazat cu lungimea l = 32 m, cu conductoare din aluminiu cu rezistivitate ρ = 1/32 ohm mm2/m şi secţiune s = 2,5 mm2, este alimentat de la tablou cu o tensiune U = 230V. Circuitul alimentează un receptor şi prin el circulă un curent I = 5A.
Să se determine:
- rezistenţa electrică R a circuitului;
- puterea P a receptorului pe care îl alimentează;
- energia electrică pe care o consumă receptorul într-o perioadă de timp t=20 minute.

- Într-un circuit cu tensiunea U = 230 V în care sunt alimentate în serie o rezistenţă R = 40 Ω şi o bobină cu rezistenţă neglijabilă şi cu o reactanţă X = 30 Ω se montează un ampermetru şi un cosfimetru. Să se determine indicaţiile aparatelor de măsură şi tensiunile la bornele rezistenţei, respectiv la bornele bobinei.








