Aplicatii numerice, probleme pentru examenul de autorizare electrician ANRE. Contine Aplicatii numerice pentru Grad II A+B de pe site-ul ANRE date la sesiunile anterioare.
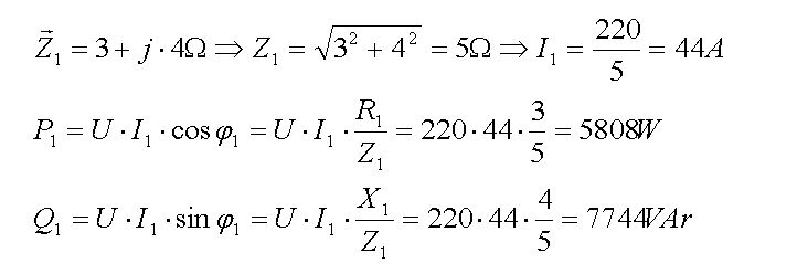
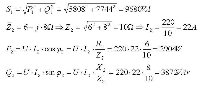
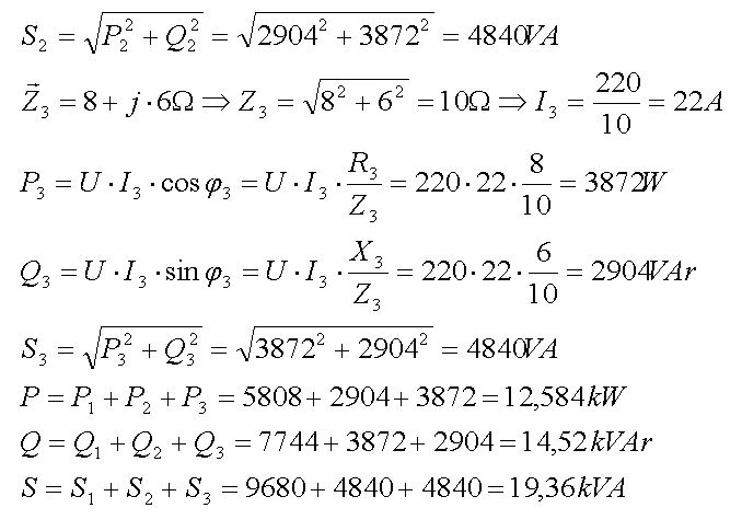
- La o reţea trifazată de curent alternativ este alimentat un receptor electric conectat în triunghi. Tensiunea de linie este de 220 V. Să se determine puterea consumată în circuit cunoscând că încărcările pe faze sunt neuniforme şi anume: prima fază are rezistenţa activă de 3 Ω şi reactanţa inductivă de 4 Ω, a doua fază are o o rezistenţă activă de 6 Ω şi o reactanţă inductivă de 8 Ω,a treia fază are rezistenţa activă de 8 Ω şi reactanţa inductivă de 6 Ω.



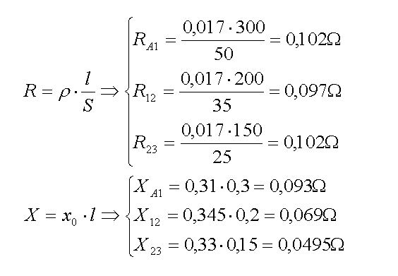
- O linie electrică aeriană cu tensiunea de 0,4 kV, cu conductoare din cupru având r = 0,017 ohm mm2/m, alimentată din sursa A, are schema şi caracteristicile din figură.

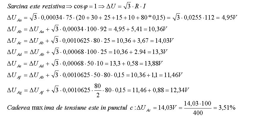
Se cere:
- să se determine pierderea maximă de tensiune;
- să se interpreteze rezultatul considerând că pierderea de tensiune admisibilă este de 10%.

Calculam pierderea longitudinala de tensiune in punctul 3. Variatia transversala a tensiunii se neglijeaza.

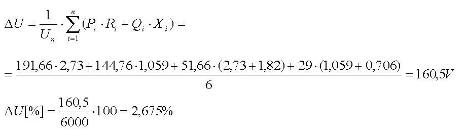
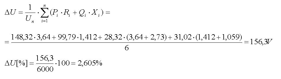
- La o reţea trifazată de 6 kV alimentată din staţiile de transformare A şi B, ale căror tensiuni sunt egale şi coincid ca fază, sunt racordate mai multe locuri de consum. Lungimile porţiunilor de reţea, în km, secţiunile conductoarelor, în mm2, sarcinile, în kW şi factorii lor de putere sunt indicate în schema reţelei.
Să se determine pierderea maximă de tensiune pentru regimul de funcţionare normal şi pentru regimul de avarie al reţelei.
Se neglijează pierderile de putere pe linii.
În regimul de avarie se presupune că se scoate din funcţiune acea porţiune din reţea a cărei ieşire din funcţiune determină căderea maximă de tensiune într-un punct oarecare al reţelei;
Pentru conductorul cu s=35mm2 se consideră r0=0,91 ohm/km şi x0=0,353 W/km iar pentru cel cu s=16 mm2 r0=1,96 W/km şi x0=0,377W/km.
Calculam elementele pasive ale retelei.
Calculam puterile in punctele de consum
Calculam circulatia de putere pe tronsonul Aa. Deoarece tensiunile in A si B sunt egale si in faza, avem:
Calculam circulatiile de puteri pe toate tronsoanele
Pentru verificare, putem calcula circulatiile de puteri incepand din sursa B.
Calculam circulatiile de puteri pe toate tronsoanele
Valorile puterilor care circula pe fiecare tronson sunt sensibil egale dupa cum se observa in cele doua tabele.
Observam ca punctul b este alimentat din ambele capete atat cu putere activa cat si cu putere reactiva.
Rupem reteaua in punctul b si o consideram alimentata doar din sursa A cu puterile calculate. Aflam caderea longitudinala de tensiune in punctul b.
Pentru verificare, putem calcula caderea longitudinala de tensiune rupand reteaua in puncul b si considerand-o alimentata din sursa B.
Valorile obtinute sunt foarte apropiate.
Caderea cea mai mare de tensiune o vom avea in punctul d daca se intrerupe
tronsonul Aa.

- O reţea trifazată de 0,4 kV alimentată din punctul A, cu conductoare din cupru având r = 0,017 ohm mm2/m are secţiunea conductoarelor, lungimile tronsoanelor şi sarcinile menţionate în figură.



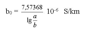
- O LEA 110 kV s.c. echipată cu conductoare de OL-Al de secţiune 185 mm2, cu diametrul 19,2 mm şi r = 1/34 ohm mm2/m, are o lungime de 40 km şi coronamentul din figură (cu distanţele în mm).
Se cere:
- Să se precizeze semnificaţiile simbolurilor a şi b din formulele de calcul ale inductanţei specifice

respectiv susceptanţei specifice
- Să se reprezinte schemele electrice echivalente în Π şi T ale liniei şi să se calculeze parametrii acestora. Se neglijează conductanţa liniei.















